Autoritățile au confirmat marți 4.637 de cazuri noi de infectare cu coronavirus, după efectuarea a 24.242 de teste în ultimele 24 de ore. 135 persoane infectate au murit, iar la ATI sunt internați 1.162 de pacienți, o cifră scădere față de ieri.
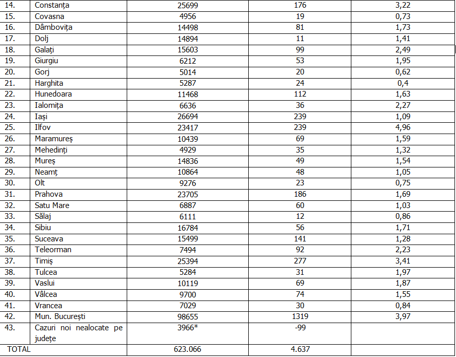
În ceea ce privește rata de infectare, județul Ilfov este pe primul loc. Potrivit, bilanțului publicat, marți, indicele este de 4,96. Cifrele sunt în scădere cu 0,41 față de ziua de luni.
Incidența din județ la mia de locuitori rămâne însă cea mai ridicată din țară. Pe locul doi se află Bucureștiul, unde rata de incidență este de 3,97, în scădere cu 0,12 față de raportarea precedentă.
După Ilfov și București, al treilea cel mai afectat județ este Timiș, unde rata de infectare este de 3,41 – în ușoară creștere cu 0,01 față de ziua precedentă.
Între timp, 14 județe se află în scenariul verde. Județele cu cea mai mică rată de infectare: Harghita (0,4), Gorj (0,62) și Covasna (0,73).

Peste 1.300 de cazuri, în București
În București, marți, au fost înregistrate cele mai multe cazuri noi de coronavirus: 1.319 de noi infectări în ultimele 24 de ore. Cifrele sunt în creștere față de ziua precedentă, când au fost raportate 958 de cazuri.
Pe locul doi este județul Timiș, cu 277 de cazuri noi, iar pe trei, Iași și Ilfov, cu câte 239 de cazuri noi.
Județele care au cel mai mic număr de infectări raportate în ultimele 24 de ore sunt: Dolj (11), Sălaj (12) și Gorj (20).
Situația infectărilor cu coronavirus pe județe, astăzi, 29 decembrie:


FOTO: Hepta
Ați sesizat o eroare într-un articol din Libertatea? Ne puteți scrie pe adresa de email eroare@libertatea.ro
:contrast(8):quality(75)/https://www.libertatea.ro/wp-content/uploads/feed/images/280_f1410c1d6a6b824dee352b8518912edc.jpg)
:contrast(8):quality(75)/https://www.libertatea.ro/wp-content/uploads/feed/images/280_a7243cca37802d6cd4c3e23ad944da76.jpg)
:contrast(8):quality(75)/https://www.libertatea.ro/wp-content/uploads/feed/images/280_4af4222442fe10e188cb8af4bfe72d25.jpg)
:contrast(8):quality(75)/https://www.libertatea.ro/wp-content/uploads/feed/images/280_d58fe1297aa93e77d8e2102a121fc909.jpg)
:contrast(8):quality(75)/https://www.libertatea.ro/wp-content/uploads/feed/images/280_3d56edd2b3001dd003aeb8363fc62534.jpg)
:contrast(8):quality(75)/https://www.libertatea.ro/wp-content/uploads/feed/images/280_0c491f402d1f3db96545a36adc3c1434.jpg)
:quality(75)/https://www.libertatea.ro/wp-content/uploads/feed/images/276_307d0da4def57a1a1da6462421fe075c.png)
:contrast(8):quality(75)/https://www.libertatea.ro/wp-content/uploads/feed/images/206_6621397258a176372b6ef8e06e28d9fb.jpg)
:contrast(8):quality(75)/https://www.libertatea.ro/wp-content/uploads/feed/images/278_2dc662106ae0fd2996003075f7b5dc72.jpeg)
:contrast(8):quality(75)/https://www.libertatea.ro/wp-content/uploads/feed/images/50_027bc5e0884cd5f20401d1f653addb72.jpg)
:contrast(8):quality(75)/https://www.libertatea.ro/wp-content/uploads/feed/images/281_a22b1443b905f56da42292528d1fd6ce.jpg)
:contrast(8):quality(75)/https://www.libertatea.ro/wp-content/uploads/feed/images/153_54a945b7bcc4a42d382684dd041848ec.webp)
:contrast(8):quality(75)/https://www.libertatea.ro/wp-content/uploads/feed/images/233_5cb06e43a186f695d1c40c1e289e4b5e.jpg)
:contrast(8):quality(75)/https://www.libertatea.ro/wp-content/uploads/feed/images/253_5c32122804e2da4c437fd4eb05efdfbf.jpg)
:contrast(8):quality(75)/https://www.libertatea.ro/wp-content/uploads/feed/images/197_b766093f9bc411b49cee1fc8f5e911af.jpg)
:contrast(8):quality(75)/https://www.libertatea.ro/wp-content/uploads/feed/images/284_c4aca8b2551a560fd3e16b44b721dd38.jpg)
:contrast(8):quality(75)/https://www.libertatea.ro/wp-content/uploads/feed/images/275_7f0b16ebab2b1809b31ac690110ef3c9.jpg)
:contrast(8):quality(75)/https://www.libertatea.ro/wp-content/uploads/feed/images/274_c1167e9e73035572301ac3daa7917bcf.jpg)
:contrast(8):quality(75)/https://www.libertatea.ro/wp-content/uploads/feed/images/274_bddf343460099a541b2bbadcbd896d09.jpg)
:contrast(8):quality(75)/https://www.libertatea.ro/wp-content/uploads/feed/images/288_3a274935339ea7bb56a54b3acd9bba28.jpg)
:contrast(8):quality(75)/https://www.libertatea.ro/wp-content/uploads/feed/images/16_b871c244f23808e5a19e78c6980bbb73.jpg)
:contrast(8):quality(75)/https://www.libertatea.ro/wp-content/uploads/feed/images/289_8c1e0d84196caec6706fcb94810a203a.jpg)
:contrast(8):quality(75)/https://www.libertatea.ro/wp-content/uploads/feed/images/206_cb4fcc8671d393528ab18c5286e652e0.jpg)
:contrast(8):quality(75)/https://www.libertatea.ro/wp-content/uploads/feed/images/255_c346f3b4d749078c98f6777766050f66.webp)
:contrast(8):quality(75)/https://static4.libertatea.ro/wp-content/uploads/2020/12/hepta5452215-1.jpg)
:contrast(8):quality(75)/https://www.libertatea.ro/wp-content/uploads/feed/images/204_1227978c8b827698f8317033ff934553.jpg)
:contrast(8):quality(75)/https://www.libertatea.ro/wp-content/uploads/feed/images/204_0a3a2d473c1b3c3debcf54988c121712.jpg)
:contrast(8):quality(75)/https://static4.libertatea.ro/wp-content/uploads/2026/02/cutremur.jpg)
:contrast(8):quality(75)/https://static4.libertatea.ro/wp-content/uploads/2026/04/romania-datorie-vaccinuri-pfizer-covid.jpg)
:contrast(8):quality(75)/https://www.libertatea.ro/wp-content/uploads/feed/images/287_8ce43bdb36ce696752bba1db10ab1739.jpeg)
:contrast(8):quality(75)/https://www.libertatea.ro/wp-content/uploads/feed/images/287_4ca2a90a6843f260d687d82e63902556.jpg)
:contrast(8):quality(75)/https://static4.libertatea.ro/wp-content/uploads/2026/04/faimosi-vs-razboinici-joc-19-04.jpg)
:contrast(8):quality(75)/https://static4.libertatea.ro/wp-content/uploads/2024/11/andreea-marinescu-5.jpg)
:contrast(8):quality(75)/https://www.libertatea.ro/wp-content/uploads/feed/images/172_6248df911a5c642265b899d04e8fdb8d.jpg)
:contrast(8):quality(75)/https://www.libertatea.ro/wp-content/uploads/feed/images/172_cd6ce7149070819a8a9e80b076909123.jpg)
:contrast(8):quality(75)/https://www.libertatea.ro/wp-content/uploads/feed/images/179_3a65ef23db354ac092f7c2c1b42705e9.jpg)
:quality(75)/https://www.libertatea.ro/wp-content/uploads/feed/images/179_246042b34857f66661de2bdd7c770f01.png)
:contrast(8):quality(75)/https://static4.libertatea.ro/wp-content/uploads/2026/04/bolojan-si-grindeanu-inquam-photos-octav-ganea-scaled-e1776630436620.jpg)
:contrast(8):quality(75)/https://static4.libertatea.ro/wp-content/uploads/2026/04/sorin-grindeanu-si-ilie-bolojan-inquam-photos-octav-ganea-scaled-e1776625060626.jpg)
:contrast(8):quality(75)/https://static4.libertatea.ro/wp-content/uploads/2026/04/femeie-la-birou-tara-europeana-cauta-angajati-part-time-50-ani.jpg)
:contrast(8):quality(75)/https://static4.libertatea.ro/wp-content/uploads/2026/04/american-stabilit-romania.jpg)
:contrast(8):quality(75)/https://static4.libertatea.ro/wp-content/uploads/2026/04/catalina-grama-la-prima-data-e1776453436283.jpg)
:contrast(8):quality(75)/https://static4.libertatea.ro/wp-content/uploads/2026/04/muscatura-capusa.jpg)
:contrast(8):quality(75)/https://static4.libertatea.ro/wp-content/uploads/2026/04/iubita-sofer-tir-gateste-cabina-el-conduce.jpg)
:contrast(8):quality(75)/https://static4.libertatea.ro/wp-content/uploads/2026/04/avion-boom-sonic.jpg)
:contrast(8):quality(75)/https://static4.libertatea.ro/wp-content/uploads/2026/04/ceai-de-dafin.jpg)
:contrast(8):quality(75)/https://static4.libertatea.ro/wp-content/uploads/2015/04/pastele-blajinilor.jpg)
:contrast(8):quality(75)/https://static4.libertatea.ro/wp-content/uploads/2026/04/femeie-spala-vase-chiuveta-bucatarie.jpg)
:quality(75)/https://static4.libertatea.ro/wp-content/uploads/2026/04/judecatoare-de-la-tribunalul-bucuresti-banuita-ca-a-folosit-inteligenta-artificiala-in-motivarea-unei-hotarari--foto-geminigeneratedimageegano0egano0egan-scaled.png)
:contrast(8):quality(75)/https://static4.libertatea.ro/wp-content/uploads/2026/04/preot-cumpara-mancare-nevoiasi-jefuit-bucuresti-ucrainean-rus-e1776600313859.jpg)
:contrast(8):quality(75)/https://static4.libertatea.ro/wp-content/uploads/2026/04/bogdan-oprea0809-copy.jpg)
:contrast(8):quality(75)/https://static4.libertatea.ro/wp-content/uploads/2026/04/aprindere-de-lumanari.jpg)
:contrast(8):quality(75)/https://static4.libertatea.ro/wp-content/uploads/2025/07/vaccin-copil.jpg)
:contrast(8):quality(75)/https://static4.libertatea.ro/wp-content/uploads/2026/04/ilie-bolojan-george-simion-hepta8248545-scaled.jpg)
:contrast(8):quality(75)/https://static4.libertatea.ro/wp-content/uploads/2026/04/cel-mai-bun-prieten-shutterstock684415648-copy.jpg)
:contrast(8):quality(75)/https://static4.libertatea.ro/wp-content/uploads/2026/04/sorin-grindeanu-ilie-bolojan-shutterstock2672892819-copy.jpg)
Loghează-te în contul tău pentru a adăuga comentarii și a te alătura dialogului.