UPDATE 26 iunie: Absolvenții de clasa a XII-a, profil real, susțin mâine proba de BAC 2018 la matematică, după ce luni au avut examenul scris la Română.
Subiectele examenului au fost aceleași la profilul uman, cât și la real, cu excepția subiectului al treilea. La acest subiect, absolvenții de clasa a XII-a au avut genul liric – vezi baremul de corectare pentru proba la Limba și literatura română.
Pentru susţinerea probelor scrise la Bacalaureat 2018, în cele 440 de centre de examen, s-au înscris 136.871 de candidaţi din toate promoţiile (118.856 de candidați din promoția curentă, respectiv 18.015 candidați din promoțiile anterioare).
Accesul candidaţilor în centrele de examen la probele scrise se face în intervalul orar 7,30 – 8,30 pe baza unui act de identitate valid, cu fotografie.
Potrivit metodologiei în vigoare, timpul destinat redactării unei lucrări scrise este de trei ore, calculat din momentul în care s-a încheiat distribuirea subiectelor fotocopiate pentru fiecare candidat. Pentru rezolvarea subiectelor candidaţii vor folosi numai cerneală sau pastă de culoare albastră, iar pentru executarea schemelor şi a desenelor vor utiliza numai creion negru. Pentru probele scrise la Matematică şi Geografie, candidaţii pot apela doar la instrumente de desen.
La probele scrise mijloacele de calcul sunt interzise, iar hârtia folosită este doar cea distribuită de asistenţi. Toate sălile de examen trebuie să aibă în dotare camere funcţionale de supraveghere video şi audio, precizează MEN.
Modele de subiecte pentru Bacalaureat 2018 la matematică
Modelele de subiecte pentru Bac 2018 au fost elaborate de Centrul Naţional de Evaluare şi Examinare, instituţie din subordinea Ministerului Educaţiei specializată în evaluare educaţională, având ca atribuţii, printre altele, asigurarea coordonării ştiinţifice şi profesionale a sistemului de examene din învăţământul preuniversitar.
În acelaşi timp, CNEE îi revine elaborarea subiectelor pentru probele de examen, respectiv elaborarea de metodologii, proceduri şi regulamente pentru organizarea şi desfăşurarea examenelor şi evaluărilor în învăţământul preuniversitar.
Model de subiect profilul mate-info pentru examentul de bacalaureat 2018, la matematică
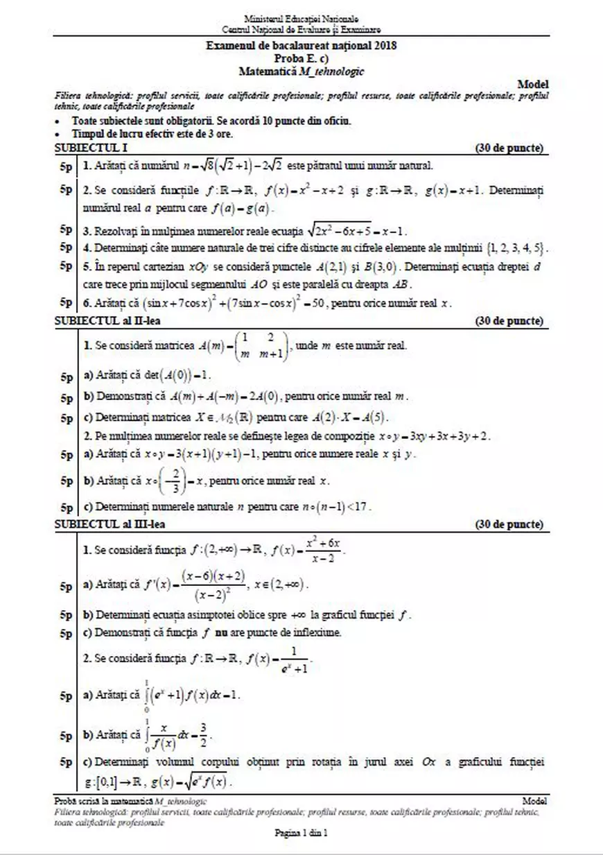
Toate cele trei subiecte sunt obligatorii şi sunt notate cu 30 de puncte fiecare. Se acordă 10 puncte din oficiu, iar timpul de lucru efectiv este de 3 ore.
:contrast(8):quality(75)/https://static4.libertatea.ro/wp-content/uploads/2018/06/bacalaureat-2018-la-matematica-varianta-subiect-profil-mate-info.jpg)
Model de subiect profilul pedagogic pentru examentul de bacalaureat 2018, la matematică
:contrast(8):quality(75)/https://static4.libertatea.ro/wp-content/uploads/2018/06/bacalaureat-2018-la-matematica-varianta-subiect-profil-pedagogic.jpg)
Model de subiect specializarea științele naturii pentru examentul de bacalaureat 2018, la matematică
:contrast(8):quality(75)/https://static4.libertatea.ro/wp-content/uploads/2018/06/bacalaureat-2018-la-matematica-varianta-subiect-specializare-stiintele-naturii.jpg)
Model de subiect profilul tehnologic pentru examentul de bacalaureat 2018, la matematică
:contrast(8):quality(75)/https://static4.libertatea.ro/wp-content/uploads/2018/06/bacalaureat-2018-la-matematica-varianta-subiect-profil-tehnologic.jpg)
BACALAUREAT 2018. Modele de subiecte pentru celelalte probe din iunie
- E.c) Istorie
- E.d) Anatomie – Biologie
- E.d) Chimie
- E.d) Fizică
- E.d) Geografie
- E.d) Informatică
- E.d) Socio-umane
Bacalaureat 2018. Ce nu au voie să facă elevii în sala de examen
În Ordinul Ministrului privind organizarea și desfășurarea examenului de bacalaureat national – 2017, se arată, la Articolul 12, care sunt regulile pe care candidații trebuie să le respecte în sala de examen.
Art.12. (1) Se interzice candidaților la examenul de bacalaureat să introducă în sălile de examen ghiozdane, rucsacuri, sacoșe, poșete și altele asemenea, candidații având obligația de a lasa obiectele menționate în sala de depozitare a obiectelor personale stabilită de comisia de bacalaureat în acest scop.
(2) Candidații care refuză depozitarea obiectelor menționate la alin. (1) în sala stabilită de comisia de bacalaureat în acest scop nu vor fi primiți în examen.
(3) Se interzice candidaților la examenul de bacalaureat să aibă, în salile de examen, asupra lor, în obiectele de îmbrăcăminte sau încalțăminte, în penare și altele asemenea sau în băncile în care sunt asezați în sălile de examen, orice fel de lucrări: manuale, cărți, dicționare, culegeri, formulare, memoratoare, notițe, însemnări, rezumate, ciorne sau lucrări ale altor candidați etc., care ar putea fi utilizate pentru rezolvarea subiectelor.
(4) Se interzice candidaților să aibă, în salile de examen, asupra lor, în obiectele de îmbrăcăminte sau încalțăminte, în penare și altele asemenea, sau în băncile în care sunt asezați în sălile de examen, telefoane mobile, căști audio, precum și orice mijloc electronic de calcul sau de comunicare/ care permite conectarea la internet/ la rețele de socializare, ce ar putea fi utilizate pentru rezolvarea subiectelor, pentru efectuarea calculelor, pentru comunicare între candidați ori cu exteriorul.
(5) Se interzice candidatilor la examenul de bacalaureat sa comunice între ei sau cu exteriorul, sa transmita ori sa schimbe între ei foi din lucrare, ciorne, notite sau alte materiale care ar putea fi utilizate pentru rezolvarea subiectelor, pentru comunicare între candidati sau cu exteriorul.
(6) Candidații care încalcă regulile menționate la alin. (3), (4) si (5) vor fi eliminati din examen, indiferent dacă materialele/obiectele interzise au fost folosite sau nu, indiferent dacă au fost introduse de aceștia ori de alți candidați, de cadre didactice din comisie sau de alte persoane și indiferent daca ei au primit ori au transmis materialele interzise.
(7) Încalcarea regulilor menționate la alin. (3), (4) si (5) va fi considerată tentativă de fraudă, iar candidații respectivi nu mai pot participă la probele următoare și sunt declarați ”eliminați din examen”, fără posibilitatea recunoașterii, în sesiunile următoare, a notelor la probele promovate anterior eliminarii, inclusiv a probelor de evaluare a competențelor lingvistice și digitale. Acești candidați nu mai au dreptul de a participa la urmatoarele două sesiuni ale examenului de bacalaureat. Calculul celor două sesiuni la care candidații „eliminați din examen” nu mai au dreptul de a participa se face fără luarea în considerare a sesiunii speciale a examenului de bacalaureat.
(8) Înainte de începerea probelor, asistenții prezintă candidaților prevederile metodologice legate de organizarea și desfășurarea corectă a examenului de bacalaureat și prevederile alin. (1)-(7) și le solicită să predea toate eventualele materiale și obiecte care, potrivit reglementarilor în vigoare pentru examenul de bacalaureat, sunt interzise în sala de examen.
(9) După parcurgerea pasilor menționați la alin. (8), candidații vor semna un procesverbal în care se regăsesc prevederile alin. (1)-(7) și mențiunea că știu că nerespectarea regulilor menționate la alin. (3), (4) si (5) are drept consecință măsurile menționate la alin. (6) si (7).
Calendarul examenului de Bacalaureat 2018 – sesiunea iunie – iulie
Ați sesizat o eroare într-un articol din Libertatea? Ne puteți scrie pe adresa de email eroare@libertatea.ro
:contrast(8):quality(75)/https://www.libertatea.ro/wp-content/uploads/feed/images/280_2ea40951b2f75ec17b71665edeaf1edf.jpg)
:contrast(8):quality(75)/https://www.libertatea.ro/wp-content/uploads/feed/images/280_1decf46f81494c32276d3b647cb21259.jpg)
:contrast(8):quality(75)/https://www.libertatea.ro/wp-content/uploads/feed/images/280_4ca81db85499ed11ecc3a194044b240b.jpg)
:contrast(8):quality(75)/https://www.libertatea.ro/wp-content/uploads/feed/images/280_43844ff129485d81112d28f7fba8239c.jpg)
:contrast(8):quality(75)/https://www.libertatea.ro/wp-content/uploads/feed/images/280_e6c859044f2c4d5710affc13ff350257.jpg)
:contrast(8):quality(75)/https://www.libertatea.ro/wp-content/uploads/feed/images/280_5080ea93676d7ec766b320d5dc61f040.jpg)
:quality(75)/https://www.libertatea.ro/wp-content/uploads/feed/images/276_a909f1249c00f8c36c9caec8488c5122.png)
:contrast(8):quality(75)/https://www.libertatea.ro/wp-content/uploads/feed/images/206_cb828e9cbc4c5ef5785c8de3e1ffbcb8.jpg)
:contrast(8):quality(75)/https://www.libertatea.ro/wp-content/uploads/feed/images/278_4d6835ea95c163693f1c4d29f0f2fe6d.webp)
:contrast(8):quality(75)/https://www.libertatea.ro/wp-content/uploads/feed/images/50_f90a94ba1c290d21500eb18aa8c2105d.jpg)
:contrast(8):quality(75)/https://www.libertatea.ro/wp-content/uploads/feed/images/281_470dcc65778cc5b50b804af164a65502.jpg)
:contrast(8):quality(75)/https://www.libertatea.ro/wp-content/uploads/feed/images/153_67d7fc2e003e66c6f3427123e44dc50b.jpg)
:contrast(8):quality(75)/https://www.libertatea.ro/wp-content/uploads/feed/images/233_d92e9ae29f24d033be343928d26387aa.jpg)
:contrast(8):quality(75)/https://www.libertatea.ro/wp-content/uploads/feed/images/253_69a54b297e82dcc0527654015f172a69.jpg)
:contrast(8):quality(75)/https://www.libertatea.ro/wp-content/uploads/feed/images/197_7f44214a8e92ca0bccdb9103e0a8d80b.jpg)
:contrast(8):quality(75)/https://www.libertatea.ro/wp-content/uploads/feed/images/274_8fe27a589d45f109f01ad019f009e976.jpg)
:contrast(8):quality(75)/https://www.libertatea.ro/wp-content/uploads/feed/images/284_b0b38be58f10ad9077d206875eb557ec.jpg)
:contrast(8):quality(75)/https://www.libertatea.ro/wp-content/uploads/feed/images/16_fdd97e50f755314ef98daced14206b5a.jpg)
:contrast(8):quality(75)/https://www.libertatea.ro/wp-content/uploads/feed/images/289_a624061dc3efb241dcb2b93d375d30b9.jpg)
:contrast(8):quality(75)/https://www.libertatea.ro/wp-content/uploads/feed/images/206_1dd23316e0ca2077e3b104c1d75894ec.jpg)
:contrast(8):quality(75)/https://www.libertatea.ro/wp-content/uploads/feed/images/255_c9646ad6c2d5657ee18465e364b372ab.webp)
:contrast(8):quality(75)/https://static4.libertatea.ro/wp-content/uploads/2018/06/hepta2953851.jpg)
:contrast(8):quality(75)/https://www.libertatea.ro/wp-content/uploads/feed/images/204_5ce6449db0491561544aa2e48da910f0.jpg)
:contrast(8):quality(75)/https://www.libertatea.ro/wp-content/uploads/feed/images/204_d625f533f5739ed8eea03eb272081257.jpg)
:contrast(8):quality(75)/https://static4.libertatea.ro/wp-content/uploads/2026/02/carrefour-detergent-retras-magazine-franta.jpg)
:contrast(8):quality(75)/https://static4.libertatea.ro/wp-content/uploads/2026/04/masina-dacia-logan-anaf-antifrauda.jpg)
:contrast(8):quality(75)/https://www.libertatea.ro/wp-content/uploads/feed/images/287_676a3052f38f3ade7919e5488c37852b.jpeg)
:contrast(8):quality(75)/https://www.libertatea.ro/wp-content/uploads/feed/images/287_24c1a108253e7dfa114f3c6835de074b.jpeg)
:contrast(8):quality(75)/https://static4.libertatea.ro/wp-content/uploads/2026/03/alexandra-capitanescu.jpg)
:contrast(8):quality(75)/https://static4.libertatea.ro/wp-content/uploads/2026/05/gabi-tamas-gabriel-duel-eliminare-survivor-romania-2026-antena-1-3.jpg)
:contrast(8):quality(75)/https://www.libertatea.ro/wp-content/uploads/feed/images/172_905b8025c5d445565c20e642aa7194bd.jpeg)
:contrast(8):quality(75)/https://www.libertatea.ro/wp-content/uploads/feed/images/172_4d2694bf8659e6604d6719ac0553f6eb.jpg)
:contrast(8):quality(75)/https://www.libertatea.ro/wp-content/uploads/feed/images/284_1209de0ef8e1e450ec6049cbaf1131f8.jpg)
:contrast(8):quality(75)/https://www.libertatea.ro/wp-content/uploads/feed/images/275_cdc405878774fb05c48bf5542371db33.jpg)
:contrast(8):quality(75)/https://www.libertatea.ro/wp-content/uploads/feed/images/274_1d6f92bf22c53672710cd12d3a5183b6.jpg)
:contrast(8):quality(75)/https://www.libertatea.ro/wp-content/uploads/feed/images/179_e4919706ecd771b5d1767e84e9c68c5e.jpg)
:contrast(8):quality(75)/https://www.libertatea.ro/wp-content/uploads/feed/images/179_b16d8f56b7dd8450b9c3c37d03345cb9.webp)
:contrast(8):quality(75)/https://static4.libertatea.ro/wp-content/uploads/2026/04/protest-piata-victoriei.jpg)
:contrast(8):quality(75)/https://static4.libertatea.ro/wp-content/uploads/2026/05/trei-fosti-judecatori-ccr-tudorel-toader-grebla-si-zegrean-explica-daca-ilie-bolojan-poate-fi-numit-din-nou-premier-de-catre-nicusor-dan-e1778177994750.jpg)
:contrast(8):quality(75)/https://static4.libertatea.ro/wp-content/uploads/2026/03/horoscop-gemeni.jpg)
:contrast(8):quality(75)/https://static4.libertatea.ro/wp-content/uploads/2026/03/horoscop-taur.jpg)
:contrast(8):quality(75)/https://static4.libertatea.ro/wp-content/uploads/2026/03/horoscop-rac.jpg)
:contrast(8):quality(75)/https://static4.libertatea.ro/wp-content/uploads/2026/03/horoscop-fecioara.jpg)
:contrast(8):quality(75)/https://static4.libertatea.ro/wp-content/uploads/2026/03/horoscop-leu.jpg)
:contrast(8):quality(75)/https://static4.libertatea.ro/wp-content/uploads/2026/05/hantavirus-test.jpg)
:contrast(8):quality(75)/https://static4.libertatea.ro/wp-content/uploads/2026/05/sertarul-de-detergnet.jpg)
:contrast(8):quality(75)/https://static4.libertatea.ro/wp-content/uploads/2026/05/ce-inseamna-cand-visezi-lac.jpg)
:contrast(8):quality(75)/https://static4.libertatea.ro/wp-content/uploads/2026/05/philodendron-ingrijire.jpg)
:contrast(8):quality(75)/https://static4.libertatea.ro/wp-content/uploads/2024/08/ploaie-furtuna-foto-dumitru-angelescu-8-1.webp)
:contrast(8):quality(75)/https://static4.libertatea.ro/wp-content/uploads/2026/05/dada.jpg)
:contrast(8):quality(75)/https://static4.libertatea.ro/wp-content/uploads/2026/05/oameni-ploaie-umbrele-strada-bucuresti.jpg)
:contrast(8):quality(75)/https://static4.libertatea.ro/wp-content/uploads/2026/05/68459676814028252685546883276258258468703402n.jpg)
:contrast(8):quality(75)/https://static4.libertatea.ro/wp-content/uploads/2026/05/ilie-bolojan-motiune-de-cenzura-foto-inquam-photos-1.jpg)
:contrast(8):quality(75)/https://static4.libertatea.ro/wp-content/uploads/2026/05/ilie-bolojan-sorin-grindeanu.jpg)
:contrast(8):quality(75)/https://static4.libertatea.ro/wp-content/uploads/2026/05/sorin-grindeanu-parlament.jpg)
:contrast(8):quality(75)/https://static4.libertatea.ro/wp-content/uploads/2026/05/sfantul-iov-bun.jpg)
Loghează-te în contul tău pentru a adăuga comentarii și a te alătura dialogului.