Toate informațiile despre Bacalaureat 2018, AICI
Simularea BAC 2018 începe la ora 9.00, moment în care, în fiecare sală, vor fi distribuite subiectele. Accesul elevilor în săli este permis până la ora 8.30, iar din momentul în care aceștia au primit subiectele vor avea la dispoziție trei ore pentru a le rezolva.
Subiectele sunt elaborate de către specialiștii Centrului Naţional de Evaluare şi Examinare (CNEE) – în mod similar cu modelele publicate pe subiecte.edu.ro – și sunt proiectate astfel încât tratarea lor să valorifice capacităţile elevilor pe temele prevăzute în programa de examen și parcurse până la această dată.
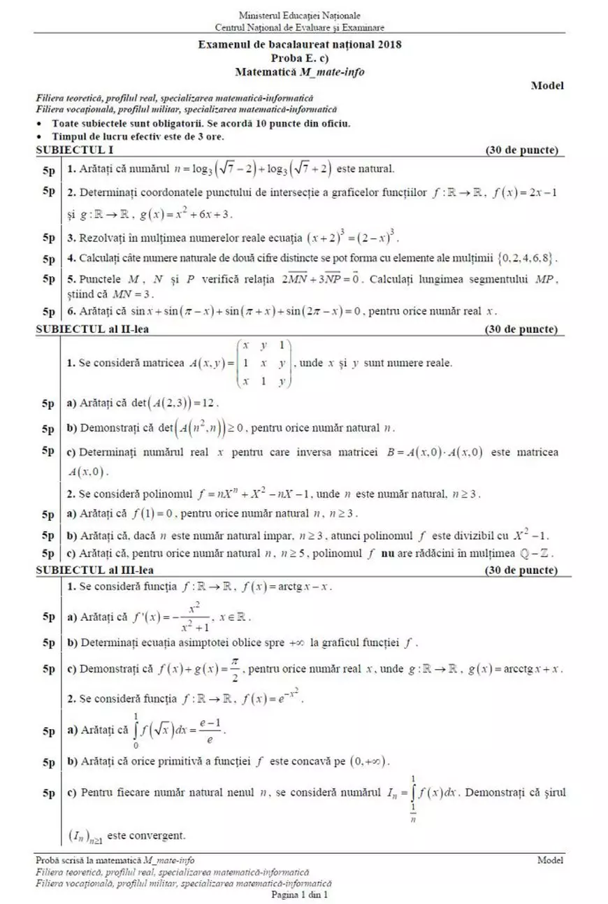
Model de subiecte pentru simulare BACALAUREAT 2018 la Matematică (specializare Matematică-Informatică)
:contrast(8):quality(75)/https://static4.libertatea.ro/wp-content/uploads/2018/03/model-subiecte-matematica-mate-info-689x1024.jpg)
Model de subiecte pentru simulare BACALAUREAT 2018 la Matematică (specializare Ştiinţe ale naturii)
:contrast(8):quality(75)/https://static4.libertatea.ro/wp-content/uploads/2018/03/model-subiecte-matematica-stiinte-ale-naturii-680x1024.jpg)
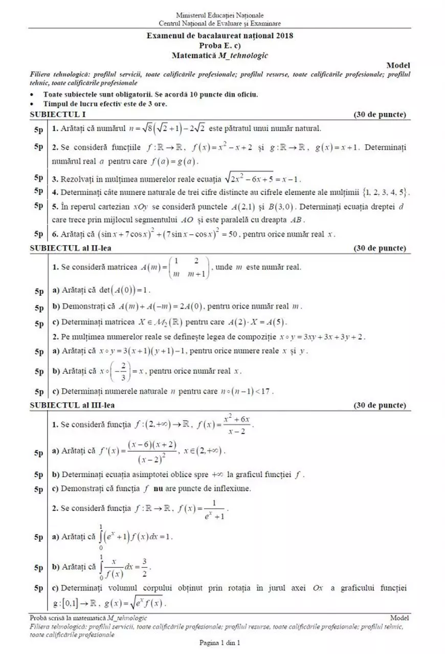
Model de subiecte pentru simulare BACALAUREAT 2018 la Matematică (profil tehnologic)
:contrast(8):quality(75)/https://static4.libertatea.ro/wp-content/uploads/2018/03/model-subiecte-matematica-tehnologic-698x1024.jpg)
Model de subiecte pentru simulare BACALAUREAT 2018 la Matematică (profil pedagogic)
:contrast(8):quality(75)/https://static4.libertatea.ro/wp-content/uploads/2018/03/model-subiecte-matematica-pedagogic-680x1024.jpg)
Calendar examen simulare Bacalaureat:
- 19 martie: Limba şi literatura română – proba E) a) – clasele a XI-a și a XII-a
- 20 martie: Limba şi literatura maternă – proba E) b) – clasele a XI-a și a XII-a
- 21 martie: proba obligatorie a profilului – proba E) c) – clasele a XI-a și a XII-a
- 22 martie: proba la alegere a profilului şi specializării – proba E) d) – exclusiv elevii clasei a XII – a
- 30 martie: comunicarea rezultatelor
Cum se pregătesc subiectele pentru Bacalaureat:
Pregătirea subiectelor începe din 1 noiembrie. În fiecare an sunt zece variANte noi de subiecte, dar pentru a veni în sprijinul candidaților pe site-ul www.subiecte.edu.ro, pot fi consultate toate variantele de subiecte din anii precedenți, modelele de subiecte de la simulare, dar și de la examen. Mai mult, candidații trebuie să știe că este important să scrie oricât știu dintr-un subiect, pentru că fiecare etapă din rezolvarea unui subiect poate ajuta la creșterea notei.
Elevii se pot pregăti rezolvând subiectele de pe site-ul www.subiecte.edu.ro
Un elev care vrea să se pregătească așa cum trebuie intră pe site-ul dedicat subiectelor, www.subiecte.edu.ro unde găsește pe lângă modele de subiecte, subiectele date în cele două sesiuni, din anii precedenți, rezervele solicitate comisiei naționale și aprobate.
”Avem și modele de subiecte, dar și subiecte inclusiv cele date la simulările naționale. Mai mult, acolo sunt publicate și baremele și pot să vadă ce s-a urmărit din tratarea acelui subiect. Foarte mulți profesori își construiesc tezele extemporalele pe acest model de subiect”, a declarat, pentru Libertatea, Sorin Spineanu Dobrotă, Șef Serviciu Examene și Concursuri Naționale, din cadrul Consiliului Național de Evaluare și Examinare (CNEE).
BACALAUREAT 2018. Modele de subiecte pentru probele scrise din iunie
- E.a) Limba şi literatura română
- E.b) Limba şi literatura maternă
- E.c) Matematică
- E.c) Istorie
- E.d) Anatomie – Biologie
- E.d) Chimie
- E.d) Fizică
- E.d) Geografie
- E.d) Informatică
- E.d) Socio-umane
BACALAUREAT 2018. Calendarul examenului de Bacalaureat 2018
Calendarul examenului de Bacalaureat 2018 – sesiunea iunie-iulie 2018
Calendarul examenului de Bacalaureat 2018 – sesiunea august-septembrie 2018
Bacalaureat 2018. Ce nu au voie să facă elevii în sala de examen
În Ordinul Ministrului privind organizarea și desfășurarea examenului de bacalaureat national – 2017, se arată, la Articolul 12, care sunt regulile pe care candidații trebuie să le respecte în sala de examen.
Art.12. (1) Se interzice candidaților la examenul de bacalaureat să introducă în sălile de examen ghiozdane, rucsacuri, sacoșe, poșete și altele asemenea, candidații având obligația de a lasa obiectele menționate în sala de depozitare a obiectelor personale stabilită de comisia de bacalaureat în acest scop.
(2) Candidații care refuză depozitarea obiectelor menționate la alin. (1) în sala stabilită de comisia de bacalaureat în acest scop nu vor fi primiți în examen.
(3) Se interzice candidaților la examenul de bacalaureat să aibă, în salile de examen, asupra lor, în obiectele de îmbrăcăminte sau încalțăminte, în penare și altele asemenea sau în băncile în care sunt asezați în sălile de examen, orice fel de lucrări: manuale, cărți, dicționare, culegeri, formulare, memoratoare, notițe, însemnări, rezumate, ciorne sau lucrări ale altor candidați etc., care ar putea fi utilizate pentru rezolvarea subiectelor.
(4) Se interzice candidaților să aibă, în salile de examen, asupra lor, în obiectele de îmbrăcăminte sau încalțăminte, în penare și altele asemenea, sau în băncile în care sunt asezați în sălile de examen, telefoane mobile, căști audio, precum și orice mijloc electronic de calcul sau de comunicare/ care permite conectarea la internet/ la rețele de socializare, ce ar putea fi utilizate pentru rezolvarea subiectelor, pentru efectuarea calculelor, pentru comunicare între candidați ori cu exteriorul.
(5) Se interzice candidatilor la examenul de bacalaureat sa comunice între ei sau cu exteriorul, sa transmita ori sa schimbe între ei foi din lucrare, ciorne, notite sau alte materiale care ar putea fi utilizate pentru rezolvarea subiectelor, pentru comunicare între candidati sau cu exteriorul.
(6) Candidații care încalcă regulile menționate la alin. (3), (4) si (5) vor fi eliminati din examen, indiferent dacă materialele/obiectele interzise au fost folosite sau nu, indiferent dacă au fost introduse de aceștia ori de alți candidați, de cadre didactice din comisie sau de alte persoane și indiferent daca ei au primit ori au transmis materialele interzise.
(7) Încalcarea regulilor menționate la alin. (3), (4) si (5) va fi considerată tentativă de fraudă, iar candidații respectivi nu mai pot participă la probele următoare și sunt declarați ”eliminați din examen”, fără posibilitatea recunoașterii, în sesiunile următoare, a notelor la probele promovate anterior eliminarii, inclusiv a probelor de evaluare a competențelor lingvistice și digitale. Acești candidați nu mai au dreptul de a participa la urmatoarele două sesiuni ale examenului de bacalaureat. Calculul celor două sesiuni la care candidații „eliminați din examen” nu mai au dreptul de a participa se face fără luarea în considerare a sesiunii speciale a examenului de bacalaureat.
(8) Înainte de începerea probelor, asistenții prezintă candidaților prevederile metodologice legate de organizarea și desfășurarea corectă a examenului de bacalaureat și prevederile alin. (1)-(7) și le solicită să predea toate eventualele materiale și obiecte care, potrivit reglementarilor în vigoare pentru examenul de bacalaureat, sunt interzise în sala de examen.
(9) După parcurgerea pasilor menționați la alin. (8), candidații vor semna un procesverbal în care se regăsesc prevederile alin. (1)-(7) și mențiunea că știu că nerespectarea regulilor menționate la alin. (3), (4) si (5) are drept consecință măsurile menționate la alin. (6) si (7).
Citește și: Sfaturi pentru simulare Bacalaureat 2018. Cum se pot pregăti elevii
Ați sesizat o eroare într-un articol din Libertatea? Ne puteți scrie pe adresa de email eroare@libertatea.ro
:contrast(8):quality(75)/https://www.libertatea.ro/wp-content/uploads/feed/images/280_b2f802206437f37db4e1a68ad276b627.jpg)
:contrast(8):quality(75)/https://www.libertatea.ro/wp-content/uploads/feed/images/280_3b56d642b166819d584cd012c00207ae.jpg)
:contrast(8):quality(75)/https://www.libertatea.ro/wp-content/uploads/feed/images/280_551a9984090b3e3469f864f0375e40cd.jpg)
:quality(75)/https://www.libertatea.ro/wp-content/uploads/feed/images/280_77b055df13f1704bc1b7fc2360d6b958.png)
:contrast(8):quality(75)/https://www.libertatea.ro/wp-content/uploads/feed/images/280_c3d03d1585ec819282261eb6b51e8f25.jpg)
:contrast(8):quality(75)/https://www.libertatea.ro/wp-content/uploads/feed/images/280_d69bce96ad5a2a3b509c2bc4ae5c7e70.jpg)
:quality(75)/https://www.libertatea.ro/wp-content/uploads/feed/images/276_cd5b7f677f19c87b92383f9d178397e8.png)
:contrast(8):quality(75)/https://www.libertatea.ro/wp-content/uploads/feed/images/206_692be220de2c62234b99e495526a69d4.jpg)
:contrast(8):quality(75)/https://www.libertatea.ro/wp-content/uploads/feed/images/278_cc3be885a7b78fca9b31169a61f95d9c.webp)
:contrast(8):quality(75)/https://www.libertatea.ro/wp-content/uploads/feed/images/50_3f76e8204d7e7c95431300dabc9a4abc.jpg)
:contrast(8):quality(75)/https://www.libertatea.ro/wp-content/uploads/feed/images/281_a22b1443b905f56da42292528d1fd6ce.jpg)
:contrast(8):quality(75)/https://www.libertatea.ro/wp-content/uploads/feed/images/153_54a945b7bcc4a42d382684dd041848ec.webp)
:contrast(8):quality(75)/https://www.libertatea.ro/wp-content/uploads/feed/images/233_cee950251ea97f558fb09cee14329f72.jpg)
:contrast(8):quality(75)/https://www.libertatea.ro/wp-content/uploads/feed/images/253_3eeb8c2c1a2d211eb913407f6fa146a1.jpg)
:contrast(8):quality(75)/https://www.libertatea.ro/wp-content/uploads/feed/images/197_4a22f50844777c07997f2950c4af9748.jpg)
:contrast(8):quality(75)/https://www.libertatea.ro/wp-content/uploads/feed/images/284_6324bcf7852d6d6e1a48b653fe9e813b.jpg)
:contrast(8):quality(75)/https://www.libertatea.ro/wp-content/uploads/feed/images/275_7f0b16ebab2b1809b31ac690110ef3c9.jpg)
:contrast(8):quality(75)/https://www.libertatea.ro/wp-content/uploads/feed/images/274_2c79aa4abf2331e1563b0777489410ae.jpg)
:contrast(8):quality(75)/https://www.libertatea.ro/wp-content/uploads/feed/images/274_c1167e9e73035572301ac3daa7917bcf.jpg)
:contrast(8):quality(75)/https://www.libertatea.ro/wp-content/uploads/feed/images/284_731e7655ed3931214c5d625c867d3b2e.jpg)
:contrast(8):quality(75)/https://www.libertatea.ro/wp-content/uploads/feed/images/16_614e3e84d0b44cab7831d65e490ce9dd.jpg)
:contrast(8):quality(75)/https://www.libertatea.ro/wp-content/uploads/feed/images/289_776c79e01e6ab7777ddd387124e05bbb.jpg)
:contrast(8):quality(75)/https://www.libertatea.ro/wp-content/uploads/feed/images/206_f15894eb1b22d0d1e52fa69fe670bd89.jpg)
:contrast(8):quality(75)/https://www.libertatea.ro/wp-content/uploads/feed/images/255_c346f3b4d749078c98f6777766050f66.webp)
:contrast(8):quality(75)/https://static4.libertatea.ro/wp-content/uploads/2018/03/bacalaureat-2018-1.jpg)
:contrast(8):quality(75)/https://www.libertatea.ro/wp-content/uploads/feed/images/204_629fbbbfd37c9a2667b76683290f552f.jpg)
:contrast(8):quality(75)/https://www.libertatea.ro/wp-content/uploads/feed/images/204_15e4e9003fdddc998b7a32e41809d747.jpg)
:contrast(8):quality(75)/https://static4.libertatea.ro/wp-content/uploads/2026/04/prostitutie-online-shutterstock2076255256-copy.jpg)
:contrast(8):quality(75)/https://static4.libertatea.ro/wp-content/uploads/2026/04/artmania-festival-2026.jpg)
:contrast(8):quality(75)/https://www.libertatea.ro/wp-content/uploads/feed/images/287_f70b657aa43466f1a00ea708cad571df.jpg)
:contrast(8):quality(75)/https://www.libertatea.ro/wp-content/uploads/feed/images/287_c47018bca1700db6f90059aca5956274.jpg)
:contrast(8):quality(75)/https://static4.libertatea.ro/wp-content/uploads/2026/04/hepta8403158-1.jpg)
:contrast(8):quality(75)/https://static4.libertatea.ro/wp-content/uploads/2025/12/anisia-gafton-pro-tv.jpg)
:contrast(8):quality(75)/https://www.libertatea.ro/wp-content/uploads/feed/images/172_4ad8e4238c4cc9aca56a01dbe69abd97.jpg)
:contrast(8):quality(75)/https://www.libertatea.ro/wp-content/uploads/feed/images/172_dfb2b45b6c232a1e964cd0b901445c05.jpg)
:contrast(8):quality(75)/https://www.libertatea.ro/wp-content/uploads/feed/images/179_3a65ef23db354ac092f7c2c1b42705e9.jpg)
:quality(75)/https://www.libertatea.ro/wp-content/uploads/feed/images/179_246042b34857f66661de2bdd7c770f01.png)
:contrast(8):quality(75)/https://static4.libertatea.ro/wp-content/uploads/2026/04/sorin-grindeanu-discurs-parlament-vot-psd-ilie-bolojan.jpg)
:contrast(8):quality(75)/https://static4.libertatea.ro/wp-content/uploads/2026/04/nicusor-dan-referendum-profimedia.jpg)
:contrast(8):quality(75)/https://static4.libertatea.ro/wp-content/uploads/2026/04/barbat-computer-jocuri.jpg)
:contrast(8):quality(75)/https://static4.libertatea.ro/wp-content/uploads/2026/04/granita-germano-elvetiana-in-weil-am-rhein-germania--imagine-cu-caracter-ilustrativ--foto-north-foto-1-e1776801805521.jpg)
:contrast(8):quality(75)/https://static4.libertatea.ro/wp-content/uploads/2026/04/barbat-telefon-accesat-facebook.jpg)
:contrast(8):quality(75)/https://static4.libertatea.ro/wp-content/uploads/2026/04/cec-medical-cabinet-4-1.jpg)
:contrast(8):quality(75)/https://static4.libertatea.ro/wp-content/uploads/2026/04/punct-de-control-aleatoriu-al-politiei--imagine-cu-caracter-ilustrativ--foto-profimedia-e1776781017577.jpg)
:contrast(8):quality(75)/https://static4.libertatea.ro/wp-content/uploads/2026/04/ce-inseamna-expresia-a-picat-ca-musca-in-lapte-si-de-unde-vine.jpg)
:contrast(8):quality(75)/https://static4.libertatea.ro/wp-content/uploads/2026/04/barbat-consulta-acte.jpg)
:contrast(8):quality(75)/https://static4.libertatea.ro/wp-content/uploads/2026/04/cele-mai-dificile-cuvinte-de-despartit-in-silabe.jpg)
:contrast(8):quality(75)/https://static4.libertatea.ro/wp-content/uploads/2026/04/galeata-mortar.jpg)
:contrast(8):quality(75)/https://static4.libertatea.ro/wp-content/uploads/2026/04/realitatea-plus.jpg)
:contrast(8):quality(75)/https://static4.libertatea.ro/wp-content/uploads/2026/04/robert-van-langh.jpg)
:contrast(8):quality(75)/https://static4.libertatea.ro/wp-content/uploads/2026/03/ilie-bolojan-a-avertizat-psd-si-a-amenintat-cu-ruperea-coalitiei-daca-sorin-grindeanu-depune-amendamente-la-buget-e1776795314942.jpg)
:contrast(8):quality(75)/https://static4.libertatea.ro/wp-content/uploads/2026/04/ilie-bolojan-10.jpg)
:contrast(8):quality(75)/https://static4.libertatea.ro/wp-content/uploads/2026/04/nicusor-dan-declaratii-ase-1.jpg)
:contrast(8):quality(75)/https://static4.libertatea.ro/wp-content/uploads/2026/04/banner-cu-mesaj-rasist-la-meciul-rapid-universitatea-craiova--foto-cristi-preda-gsp-e1776769573552.jpeg)
:contrast(8):quality(75)/https://static4.libertatea.ro/wp-content/uploads/2026/04/nicusor-dan-ilie-bolojan-afp20250620636g8zqv1highresromaniapoliticsgovernment-copy.jpg)
:contrast(8):quality(75)/https://static4.libertatea.ro/wp-content/uploads/2026/04/acord-liban-israel.jpg)
Loghează-te în contul tău pentru a adăuga comentarii și a te alătura dialogului.