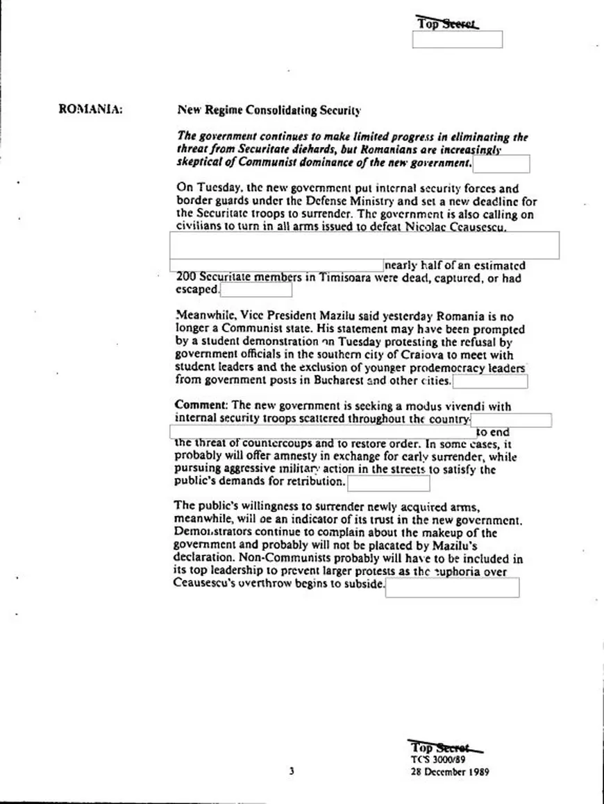
În 28 decembrie 1989, la doar câteva zile după căderea lui Nicolae Ceaușescu, un raport CIA atrăgea atenția asupra scepticismului tot mai mare al românilor cu privire la dominația comuniștilor asupra noului guvern.
Documentul a fost desecretizat recent de Agenția Centrală de Informații, împreună cu alte informări despre căderea regimurilor comuniste.
”Vicepreședintele (Dumitru, n.red.) Mazilu a spus ieri că România nu mai este un stat comunist. Declarația sa pare să fi fost determinată de o demonstrație a tinerilor nemulțumiți de faptul că autoritățile din Craiova au refuzat să se întâlnească cu reprezentanții studenților și de faptul că tinerii protestatari pro-democrație au fost excluși din posturile guvernamentale la București și în alte orașe”, observa raportul CIA din 28 decembrie 1989.
Noul guvern caută un mod de abordare a situației trupelor de securitate internă din toată țara, pentru a pune capăt amenințărilor unor contrarevoluții și pentru a restaura ordinea. În unele cazuri, va oferi probabil amnistie în schimbul predării armelor, în vreme ce va derula o acțiune militară pe străzi pentru a satisface dorința de răzbunare a populației.
Raport CIA:
:contrast(8):quality(75)/https://static4.libertatea.ro/wp-content/uploads/2019/12/cia1.jpg)
În continuare, CIA insista pe nemulțumirea oamenilor în ceea ce privește infiltrarea comuniștilor în noul guvern.
”Demonstranții continuă să se plângă de forma guvernului și probabil nu vor fi opriți de declarația lui Mazilu. Non-comuniștii vor trebui incluși în conducere pentru a preveni proteste mai ample, pe măsură ce euforia instalată după răsturnarea lui Ceaușescu se risipește”, nota raportul Agenției Centrale de Informații pe 28 decembrie.
Succesul pe care figurile din regimul Ceaușescu l-au avut în integrarea în Frontul Salvării Naționale contribuie la scepticismul public cu privire la Front, mai atrăgea atenția CIA.
Raportul oferea și o scurtă listă de oameni care la momentul respectiv rămăseseră în siajul guvernării, printre care Ilie Verdeț, Iulian Vlad, Constantin Dăscălescu sau Gheorghe Oprea.
Dorința secretă a lui Ion Iliescu
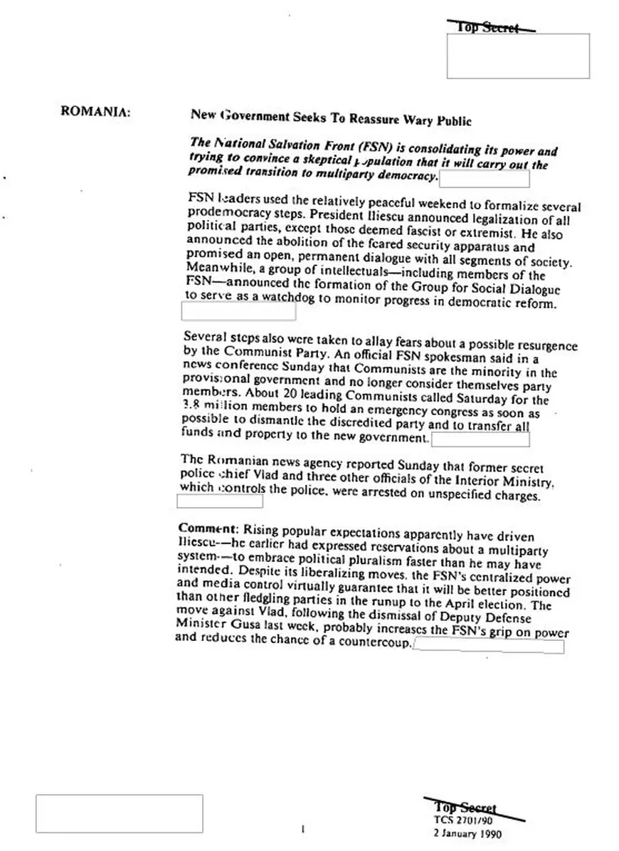
Un alt raport desecretizat al CIA, cu data de 2 ianuarie 1990, insista pe aceeași temă și nota declarația unui oficial FSN potrivit căreia comuniștii ar fi ”minoritatea în guvernul provizoriu”.
CIA nota că Iulian Vlad a fost arestat, alături de alți foști oficiali ai Ministerului de Interne, dar în același timp oferea un comentariu sumbru pentru viitor.
”Creșterea așteptărilor publice l-a determinat pe Iliescu – care mai devreme exprimase rezerve cu privire la un sistem multipartit – să îmbrățișeze pluralismul politic mai repede decât intenționa. În ciuda măsurilor de liberalizare, puterea cetralizată a FSN și controlul asupra presei îi garantează practic că va fi mai bine poziționat decât alte forțe politice în vederea alegerilor din aprilie. Mișcarea care l-a vizat pe (Iulian, n.red.) Vlad, care a urmat demiterii ministrului adjunct al Apărării (Ștefan, n.red.) Gușă, va crește cel mai probabil controlul FSN asupra puterii și va reduce șansele unei contrarevoluții”, mai spune raportul CIA.
:contrast(8):quality(75)/https://static4.libertatea.ro/wp-content/uploads/2019/12/cia3.jpg)
Intenția inițială a lui Ion Iliescu de a nu permite multipartitismul a fost transmisă cel mai probabil în timpul unei întâlniri a reprezentanților noului guvern provizoriu cu ambasadorul SUA.
În întâlnirea relatată și de diplomații britanici de la București, potrivit unui alt document desecretizat, Iliescu a spus că România ar trebui să aibă pluralism, dar nu a considerat că asta înseamnă neapărat multipartitism. Iliescu ar mai fi spus că frontul Salvării Naționale ar putea să fie un cadru politic mai larg, în care fiecare român ar putea să aibă un punct de vedere.
:contrast(8):quality(75)/https://static4.libertatea.ro/wp-content/uploads/2019/12/uk1.jpg)
”Securitatea s-a întors la treabă”
La finalul lui 1990, CIA nota deja că ”Securitatea s-a întors la treabă”.
”Continuarea demonstraţiilor împotriva regimului împinge FSN, aflat la putere, să recurgă la susţinerea necruţătoarei foste poliţii secrete a lui Ceauşescu”, spune raportul CIA, care adaugă că, aşa cum s-a întâmplat în timpul înlăturării dictatorului, armata română ar putea juca un rol-cheie în supravieţuirea FSN.
:contrast(8):quality(75)/https://static4.libertatea.ro/wp-content/uploads/2019/12/securi.jpg)
Ați sesizat o eroare într-un articol din Libertatea? Ne puteți scrie pe adresa de email eroare@libertatea.ro
:contrast(8):quality(75)/https://www.libertatea.ro/wp-content/uploads/feed/images/280_f1410c1d6a6b824dee352b8518912edc.jpg)
:contrast(8):quality(75)/https://www.libertatea.ro/wp-content/uploads/feed/images/280_a7243cca37802d6cd4c3e23ad944da76.jpg)
:contrast(8):quality(75)/https://www.libertatea.ro/wp-content/uploads/feed/images/280_4af4222442fe10e188cb8af4bfe72d25.jpg)
:contrast(8):quality(75)/https://www.libertatea.ro/wp-content/uploads/feed/images/280_d58fe1297aa93e77d8e2102a121fc909.jpg)
:contrast(8):quality(75)/https://www.libertatea.ro/wp-content/uploads/feed/images/280_3d56edd2b3001dd003aeb8363fc62534.jpg)
:contrast(8):quality(75)/https://www.libertatea.ro/wp-content/uploads/feed/images/280_0c491f402d1f3db96545a36adc3c1434.jpg)
:quality(75)/https://www.libertatea.ro/wp-content/uploads/feed/images/276_04e5246ab8ad78dd6b2419fa96f2056f.png)
:contrast(8):quality(75)/https://www.libertatea.ro/wp-content/uploads/feed/images/206_ae008224c75fa41485a766aaffc2a727.jpg)
:contrast(8):quality(75)/https://www.libertatea.ro/wp-content/uploads/feed/images/278_2dc662106ae0fd2996003075f7b5dc72.jpeg)
:contrast(8):quality(75)/https://www.libertatea.ro/wp-content/uploads/feed/images/50_027bc5e0884cd5f20401d1f653addb72.jpg)
:contrast(8):quality(75)/https://www.libertatea.ro/wp-content/uploads/feed/images/281_a22b1443b905f56da42292528d1fd6ce.jpg)
:contrast(8):quality(75)/https://www.libertatea.ro/wp-content/uploads/feed/images/153_54a945b7bcc4a42d382684dd041848ec.webp)
:contrast(8):quality(75)/https://www.libertatea.ro/wp-content/uploads/feed/images/233_5cb06e43a186f695d1c40c1e289e4b5e.jpg)
:contrast(8):quality(75)/https://www.libertatea.ro/wp-content/uploads/feed/images/253_b9e8038ab590462aad9cccb69f0ebf08.jpg)
:contrast(8):quality(75)/https://www.libertatea.ro/wp-content/uploads/feed/images/197_b766093f9bc411b49cee1fc8f5e911af.jpg)
:contrast(8):quality(75)/https://www.libertatea.ro/wp-content/uploads/feed/images/284_863b9ac2f182b25fbd2bca969cbaa01a.jpg)
:contrast(8):quality(75)/https://www.libertatea.ro/wp-content/uploads/feed/images/275_7f0b16ebab2b1809b31ac690110ef3c9.jpg)
:contrast(8):quality(75)/https://www.libertatea.ro/wp-content/uploads/feed/images/274_bddf343460099a541b2bbadcbd896d09.jpg)
:contrast(8):quality(75)/https://www.libertatea.ro/wp-content/uploads/feed/images/274_2b0b0d6a5c157124cf837250547e03ca.jpg)
:contrast(8):quality(75)/https://www.libertatea.ro/wp-content/uploads/feed/images/288_745d5002766da97c45b2f3399408edbb.jpg)
:contrast(8):quality(75)/https://www.libertatea.ro/wp-content/uploads/feed/images/16_056388dbba17e3d66165fff23cb251c9.jpg)
:contrast(8):quality(75)/https://www.libertatea.ro/wp-content/uploads/feed/images/289_8c1e0d84196caec6706fcb94810a203a.jpg)
:contrast(8):quality(75)/https://www.libertatea.ro/wp-content/uploads/feed/images/206_ac27ac56e6912ffad51dd149f1269ab4.jpg)
:contrast(8):quality(75)/https://www.libertatea.ro/wp-content/uploads/feed/images/255_082288d6afe7b45890f976d0f3ac9623.webp)
:contrast(8):quality(75)/https://static4.libertatea.ro/wp-content/uploads/2019/04/1989iliescutelevision.jpg)
:contrast(8):quality(75)/https://www.libertatea.ro/wp-content/uploads/feed/images/204_c34be7f2948651005e925f46198f0cc2.jpg)
:contrast(8):quality(75)/https://www.libertatea.ro/wp-content/uploads/feed/images/204_0a3a2d473c1b3c3debcf54988c121712.jpg)
:contrast(8):quality(75)/https://static4.libertatea.ro/wp-content/uploads/2026/04/sofer-roman-tir-spania-tiktok.jpg)
:contrast(8):quality(75)/https://static4.libertatea.ro/wp-content/uploads/2026/04/energie-electrica.jpg)
:contrast(8):quality(75)/https://www.libertatea.ro/wp-content/uploads/feed/images/287_8ce43bdb36ce696752bba1db10ab1739.jpeg)
:contrast(8):quality(75)/https://www.libertatea.ro/wp-content/uploads/feed/images/287_4ca2a90a6843f260d687d82e63902556.jpg)
:contrast(8):quality(75)/https://static4.libertatea.ro/wp-content/uploads/2026/04/banner-terasa-obor-amza-pelea.jpg)
:contrast(8):quality(75)/https://static4.libertatea.ro/wp-content/uploads/2026/04/daiana-anghel.jpg)
:contrast(8):quality(75)/https://www.libertatea.ro/wp-content/uploads/feed/images/172_6248df911a5c642265b899d04e8fdb8d.jpg)
:contrast(8):quality(75)/https://www.libertatea.ro/wp-content/uploads/feed/images/172_cd6ce7149070819a8a9e80b076909123.jpg)
:contrast(8):quality(75)/https://www.libertatea.ro/wp-content/uploads/feed/images/179_3a65ef23db354ac092f7c2c1b42705e9.jpg)
:quality(75)/https://www.libertatea.ro/wp-content/uploads/feed/images/179_246042b34857f66661de2bdd7c770f01.png)
:contrast(8):quality(75)/https://static4.libertatea.ro/wp-content/uploads/2026/04/instantvicepremieroanaghorghiu03inquamphotosoctavganea-scaled.jpg)
:quality(75)/https://static4.libertatea.ro/wp-content/uploads/2026/03/sorin-grindeanu-foto-facebook-sorin-grindeanu.png)
:contrast(8):quality(75)/https://static4.libertatea.ro/wp-content/uploads/2026/04/horoscop-19-aprilie-2026.jpg)
:contrast(8):quality(75)/https://static4.libertatea.ro/wp-content/uploads/2026/04/eclipsa-de-soare-2026.jpg)
:contrast(8):quality(75)/https://static4.libertatea.ro/wp-content/uploads/2026/04/cel-mai-ingust-oras-din-lume-yanjing-china.jpg)
:quality(75)/https://static4.libertatea.ro/wp-content/uploads/2026/04/ep3---andreea-nechita.png)
:quality(75)/https://static4.libertatea.ro/wp-content/uploads/2026/04/turn-apa-vanzare-germania.png)
:contrast(8):quality(75)/https://static4.libertatea.ro/wp-content/uploads/2026/04/avion-boom-sonic.jpg)
:contrast(8):quality(75)/https://static4.libertatea.ro/wp-content/uploads/2026/04/ceai-de-dafin.jpg)
:contrast(8):quality(75)/https://static4.libertatea.ro/wp-content/uploads/2015/04/pastele-blajinilor.jpg)
:contrast(8):quality(75)/https://static4.libertatea.ro/wp-content/uploads/2026/04/ana-alfianu-si-peter-haas.jpg)
:contrast(8):quality(75)/https://static4.libertatea.ro/wp-content/uploads/2026/04/intoleranta-la-lactoza--foto-ilustrativ-shutterstock2490328909-copy.jpg)
:contrast(8):quality(75)/https://static4.libertatea.ro/wp-content/uploads/2026/04/statuia-lui-prometeu-baraj-vidraru.jpg)
:contrast(8):quality(75)/https://static4.libertatea.ro/wp-content/uploads/2026/04/sofer-roman-tir-spania.jpg)
:contrast(8):quality(75)/https://static4.libertatea.ro/wp-content/uploads/2025/07/vaccin-copil.jpg)
:contrast(8):quality(75)/https://static4.libertatea.ro/wp-content/uploads/2026/04/ilie-bolojan-george-simion-hepta8248545-scaled.jpg)
:contrast(8):quality(75)/https://static4.libertatea.ro/wp-content/uploads/2026/04/cel-mai-bun-prieten-shutterstock684415648-copy.jpg)
:contrast(8):quality(75)/https://static4.libertatea.ro/wp-content/uploads/2026/04/sorin-grindeanu-ilie-bolojan-shutterstock2672892819-copy.jpg)
Loghează-te în contul tău pentru a adăuga comentarii și a te alătura dialogului.